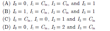
Q.28 A 4 : 1 multiplexer is to be used for generating the output carry of a full adder. A and B are the bits to be added while is the input carry and
is the output carry. A and B are to be used as the select bits with A
being the more significant select bit.
Which one of the following statements correctly describes the choice of signals to be connected to the inputs ,
so that the output is Cout ?
Answer: (A)
Explanation:














