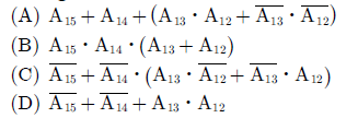
Q.52 An 8 Kbyte ROM with an active low Chip Select input is to be used in an 8085 microprocessor based system. The ROM should occupy the address range 1000 H to 2FFFH. The address lines are designed as
, where
is the most significant address bit. Which one of the following logic expressions will generate the correct
signal for this ROM?
Answer: (A)
Explanation:













