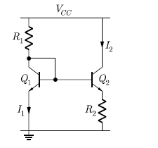
Q.24 Resistor in the circuit below has been adjusted so that
. The bipolar transistor
are perfectly matched and have very high current gain, so their base current are negligible. The supply voltage
is 6 V. The thermal voltage kT/q is 26 mV.

is _____
Answer: (598.67)
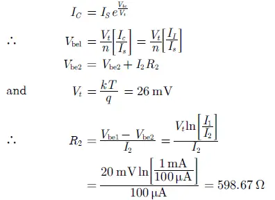
Explanation:












