Gate ME-2009 Question Paper With Solutions

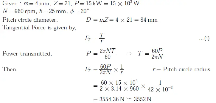
Q 59. Gate ME-2009 Question Paper With SolutionsThe tangential force transmitted (in N ) is

(A) 3552

(B) 2611

(C) 1776

(D) 1305

Answer: (A)

Explanation:

Gate ME-2009 Question Paper With Solutions

Learn More:   Gate EC-2012 Question Paper With Solutions

LEAVE A REPLY

Please enter your comment!
Please enter your name here