Gate ME-2009 Question Paper With Solutions

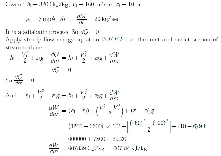
Q 51.Gate ME-2009 Question Paper With Solutions If mass flow rate of steam through the turbine is 20kg/s, the power output of the turbine (in MW ) is

(A) 12.157

(B) 12.941

(C) 168.001

(D) 168.785

Answer: (A)

Explanation:

Gate ME-2009 Question Paper With Solutions

Gate ME-2009 Question Paper With Solutions

Learn More:   Gate EC-2015 - 1 Question Paper With Solutions

LEAVE A REPLY

Please enter your comment!
Please enter your name here