Gate ME-2009 Question Paper With Solutions

Q 22Gate ME-2009 Question Paper With Solutions
Gate ME-2009 Question Paper With Solutions

Answer: (A)

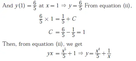
Explanation:

Gate ME-2009 Question Paper With Solutions

Gate ME-2009 Question Paper With Solutions

Learn More:   Gate EC-2016 - 1 Question Paper With Solutions

LEAVE A REPLY

Please enter your comment!
Please enter your name here