Gate ME-2009 Question Paper With Solutions

Q 34. The velocity profile of a fully developed laminar flow in a straight circular pipe, as shown in the figure, is given by the expression Gate ME-2009 Question Paper With Solutions

where Gate ME-2009 Question Paper With Solutions is a constant. The average velocity of fluid in the pipe is

Gate ME-2009 Question Paper With Solutions

Answer: (A)

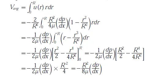
Explanation:

Gate ME-2009 Question Paper With Solutions

Gate ME-2009 Question Paper With Solutions

Gate ME-2009 Question Paper With Solutions

Gate ME-2009 Question Paper With Solutions

Learn More:   Gate EE-2006 Question Paper With Solutions

LEAVE A REPLY

Please enter your comment!
Please enter your name here