Gate ME-2009 Question Paper With Solutions

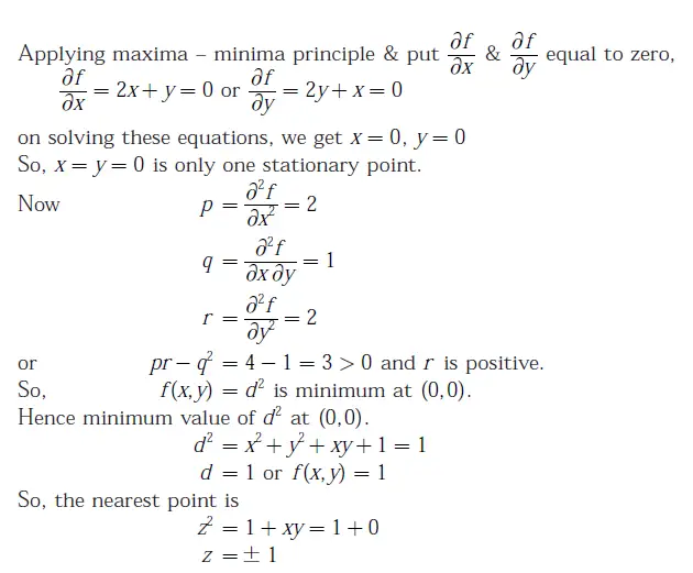
Q 24. The distance between the origin and the point nearest to it on the surface Gate ME-2009 Question Paper With Solutionsis
Gate ME-2009 Question Paper With Solutions

Answer: (A)

Explanation:

Gate ME-2009 Question Paper With Solutions

Gate ME-2009 Question Paper With Solutions

Learn More:   Gate EE-2012 Question Paper With Solutions

LEAVE A REPLY

Please enter your comment!
Please enter your name here