Gate ME-2018-1 Question Paper With Solutions

Q. 46Gate ME-2018-1 Question Paper With Solutions

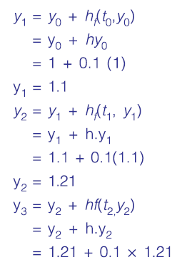
Answer: (2.5937)

Explanation:

Gate ME-2018-1 Question Paper With Solutions Gate ME-2018-1 Question Paper With Solutions Gate ME-2018-1 Question Paper With Solutions

Learn More:   Gate EC-2015 - 2 Question Paper With Solutions

LEAVE A REPLY

Please enter your comment!
Please enter your name here