Gate ME-2018-1 Question Paper With Solutions

Q. 47Gate ME-2018-1 Question Paper With Solutions

Answer: (B)

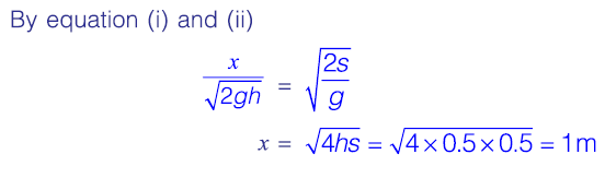
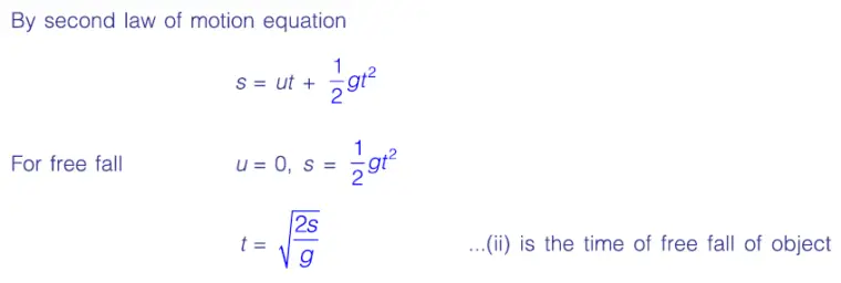
Explanation:

Gate ME-2018-1 Question Paper With Solutions Gate ME-2018-1 Question Paper With Solutions Gate ME-2018-1 Question Paper With Solutions Gate ME-2018-1 Question Paper With Solutions

Learn More:   Gate EE-2017-1 Question Paper With Solutions

LEAVE A REPLY

Please enter your comment!
Please enter your name here