Gate ME-2018-1 Question Paper With Solutions

Q. 26Gate ME-2018-1 Question Paper With Solutions

Answer: (0)

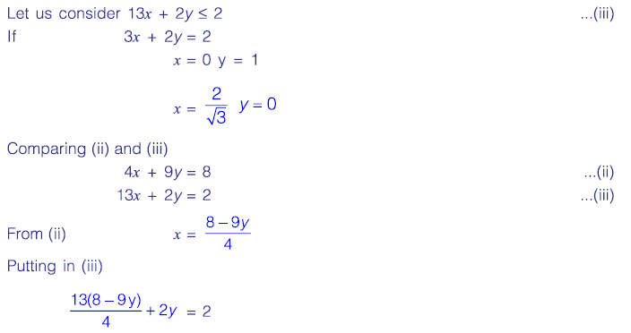
Explanation:

Gate ME-2018-1 Question Paper With Solutions

 

Gate ME-2018-1 Question Paper With Solutions Gate ME-2018-1 Question Paper With Solutions Gate ME-2018-1 Question Paper With Solutions

Learn More:   Gate ME 2014-3 Question Paper With Solutions

LEAVE A REPLY

Please enter your comment!
Please enter your name here