Gate ME-2018-1 Question Paper With Solutions

Q. 61Gate ME-2018-1 Question Paper With Solutions Answer: (A)

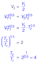
Explanation:

Gate ME-2018-1 Question Paper With Solutions

Learn More:   Gate CS-2015-3 Question Paper With Solutions

LEAVE A REPLY

Please enter your comment!
Please enter your name here