Gate EE-2017-2 Question Paper With Solutions

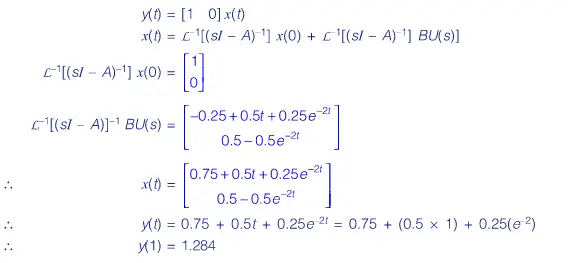
Q. 50Gate EE-2017-2 Question Paper With Solutions Answer: (1.284)

Explanation:

Gate EE-2017-2 Question Paper With Solutions

Learn More:   Gate ME 2015-3 Question Paper With Solutions

LEAVE A REPLY

Please enter your comment!
Please enter your name here