Gate EE-2017-2 Question Paper With Solutions

Q. 36Gate EE-2017-2 Question Paper With SolutionsAnswer: (D)

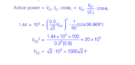
Explanation:

Gate EE-2017-2 Question Paper With Solutions

Gate EE-2017-2 Question Paper With Solutions

Learn More:   Gate ME 2014-3 Question Paper With Solutions

LEAVE A REPLY

Please enter your comment!
Please enter your name here