Gate EE-2017-2 Question Paper With Solutions

Q. 33Gate EE-2017-2 Question Paper With Solutions
Answer: (D)

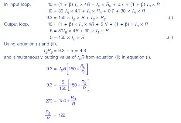
Explanation:

Gate EE-2017-2 Question Paper With Solutions

Learn More:   Gate CS-2009 Question Paper With Solutions

LEAVE A REPLY

Please enter your comment!
Please enter your name here