Gate EE-2017-2 Question Paper With Solutions

Q. 49Gate EE-2017-2 Question Paper With Solutions
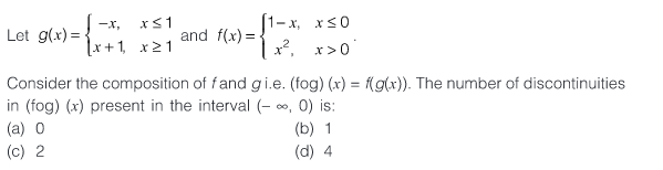
Answer: (A)

Explanation:

Gate EE-2017-2 Question Paper With Solutions

Learn More:   Gate EE-2019 Question Paper With Solutions

LEAVE A REPLY

Please enter your comment!
Please enter your name here