Gate EE-2017-1 Question Paper With Solutions

Q. 45Gate EE-2017-1 Question Paper With Solutions

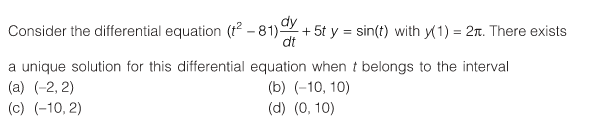
Answer: (A)

Explanation:

Gate EE-2017-1 Question Paper With Solutions

Gate EE-2017-1 Question Paper With Solutions

Learn More:   Gate CS-2015-2 Question Paper With Solutions

LEAVE A REPLY

Please enter your comment!
Please enter your name here