Gate EE-2017-1 Question Paper With Solutions

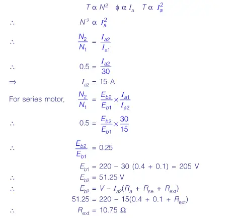
Q. 26Gate EE-2017-1 Question Paper With Solutions Answer: (10.75)

Explanation:

Gate EE-2017-1 Question Paper With Solutions

 

Learn More:   Gate ME-2020-1 Question Paper With Solutions

LEAVE A REPLY

Please enter your comment!
Please enter your name here