Gate EE-2017-1 Question Paper With Solutions

Q. 31Gate EE-2017-1 Question Paper With Solutions

Answer: (0.097)

Explanation:

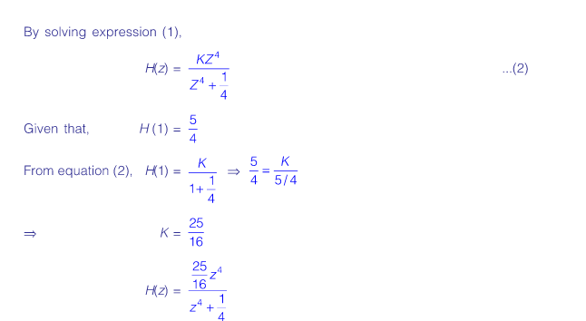
Gate EE-2017-1 Question Paper With Solutions Gate EE-2017-1 Question Paper With Solutions Gate EE-2017-1 Question Paper With Solutions

Learn More:   CS-2002 Question Paper With Solutions

LEAVE A REPLY

Please enter your comment!
Please enter your name here