Gate EE-2017-1 Question Paper With Solutions

Q. 28Gate EE-2017-1 Question Paper With Solutions

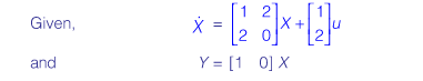
Answer: (D)

Explanation:

Gate EE-2017-1 Question Paper With Solutions Gate EE-2017-1 Question Paper With Solutions

 

 

Learn More:   Gate EE-2006 Question Paper With Solutions

LEAVE A REPLY

Please enter your comment!
Please enter your name here