Gate EE-2017-1 Question Paper With Solutions

Q. 43Gate EE-2017-1 Question Paper With Solutions

Answer: (B)

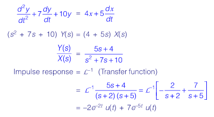
Explanation:

Gate EE-2017-1 Question Paper With Solutions

Learn More:   Gate ME-2020-2 Question Paper With Solutions

LEAVE A REPLY

Please enter your comment!
Please enter your name here