Gate EC-2019 Question Paper With Solutions

Q. 64Gate EC-2019 Question Paper With Solutions

Answer: (D)

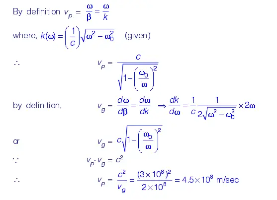
Explanation:

Gate EC-2019 Question Paper With Solutions

Learn More:   Gate CS-2014-2 Question Paper With Solutions

LEAVE A REPLY

Please enter your comment!
Please enter your name here