Gate EC-2019 Question Paper With Solutions

Q. 56Gate EC-2019 Question Paper With Solutions

Answer: (A)

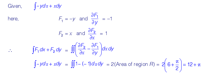
Explanation:

Gate EC-2019 Question Paper With Solutions

Learn More:   Gate ME-2011 Question Paper With Solutions

LEAVE A REPLY

Please enter your comment!
Please enter your name here