Gate EC-2019 Question Paper With Solutions

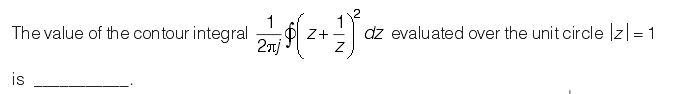
Q. 31Gate EC-2019 Question Paper With Solutions

Gate EC-2019 Question Paper With Solutions

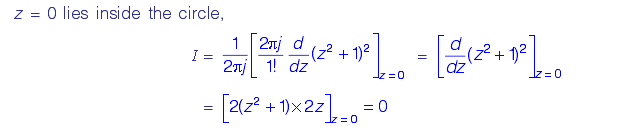
Answer: (0)

Explanation:

Gate EC-2019 Question Paper With Solutions Gate EC-2019 Question Paper With Solutions

Learn More:   Gate ME-2011 Question Paper With Solutions

LEAVE A REPLY

Please enter your comment!
Please enter your name here