Gate EC-2019 Question Paper With Solutions

Q. 52Gate EC-2019 Question Paper With Solutions

Answer: (B)

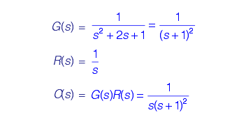
Explanation:

Gate EC-2019 Question Paper With Solutions Gate EC-2019 Question Paper With Solutions

Learn More:   Gate CS-2015-1 Question Paper With Solutions

LEAVE A REPLY

Please enter your comment!
Please enter your name here