Gate EC-2019 Question Paper With Solutions

Q. 39Gate EC-2019 Question Paper With Solutions Gate EC-2019 Question Paper With Solutions Answer: (D)

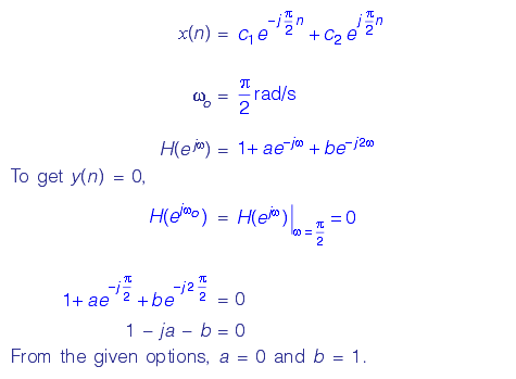
Explanation:

Gate EC-2019 Question Paper With Solutions

Learn More:   Gate CS-2015-2 Question Paper With Solutions

LEAVE A REPLY

Please enter your comment!
Please enter your name here