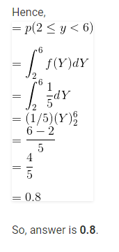
Q. 56 Suppose Y is distributed uniformly in the open interval (1, 6). The probability that the polynomial 3x2 + 6xY + 3Y + 6 has only real roots is (rounded off to 1 decimal place) _________.
Note: This was Numerical Type question.
(A) 0.80
(B) 0.17
(C) 0.20
(D) 1
Answer: (A)
Explanation:













