Gate CS-2019 Question Paper With Solutions

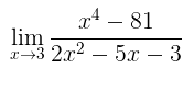
Q. 22 Compute

Gate CS-2019 Question Paper With Solutions

(A) Limit does not exist

(B) 1

(C) 53/12

(D) 108/7

Answer: (D)

Explanation:

Gate CS-2019 Question Paper With Solutions

Learn More:   Gate CS-2015-1 Question Paper With Solutions

LEAVE A REPLY

Please enter your comment!
Please enter your name here