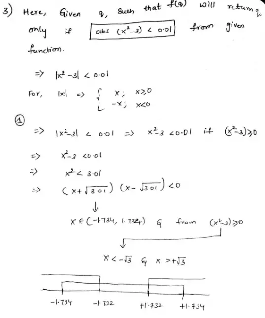
Q. 50 Consider the following function
double f(double x){ if (abs(x*x - 3) < 0.01) return x; else return f(x/2 + 1.5/x); } Give a value q (to 2 decimals) such that f(q) will return q:_____.
(A) 1.73
(B) 2.24
(C) 4.22
(D) 3.42
Answer: (A)
Explanation:













