Gate CS-2014-2 Question Paper With Solutions

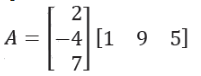
Q. 14 If the matrix A is such that

Gate CS-2014-2 Question Paper With Solutions

then the determinant of A is equal to _______.

(A) 0

(B) 1

(C) 2

(D) 3

Answer: (A)

Explanation:

Gate CS-2014-2 Question Paper With Solutions

Learn More:   Gate ME-2019-2 Question Paper With Solutions

LEAVE A REPLY

Please enter your comment!
Please enter your name here