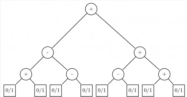
Q. 49 Consider the expression tree shown. Each leaf represents a numerical vale, which
can either be 0 or 1. Over all possible choices of the values at the leaves, the
maximum possible value of the expression represented by the tree is _____.
(A) 4
(B) 6
(C) 8
(D) 10
Answer: (B)
Explanation:













