Gate ME-2020-1 Question Paper With Solutions

Q. 9Gate ME-2020-1 Question Paper With Solutions

Answer: (B)

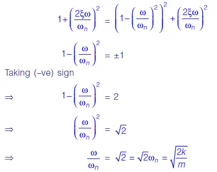
Explanation:

Gate ME-2020-1 Question Paper With Solutions Gate ME-2020-1 Question Paper With Solutions Gate ME-2020-1 Question Paper With Solutions

Learn More:   Gate ME-2013 Question Paper With Solutions

LEAVE A REPLY

Please enter your comment!
Please enter your name here