Gate ME-2020-1 Question Paper With Solutions

Q. 16Gate ME-2020-1 Question Paper With Solutions

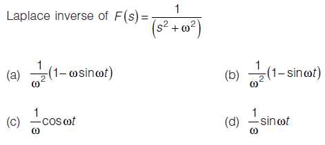
Answer: (D)

Explanation:

Not Required.

Learn More:   Gate ME-2011 Question Paper With Solutions

LEAVE A REPLY

Please enter your comment!
Please enter your name here