Gate ME-2020-1 Question Paper With Solutions

Q. 36Gate ME-2020-1 Question Paper With Solutions
Answer: (A)

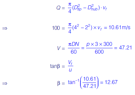
Explanation:Gate ME-2020-1 Question Paper With Solutions

Learn More:   Gate EE-2016-2 Question Paper With Solutions

LEAVE A REPLY

Please enter your comment!
Please enter your name here