Gate ME-2020-1 Question Paper With Solutions

Q. 11Gate ME-2020-1 Question Paper With Solutions
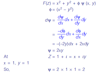
Answer: (2)

Explanation:

Gate ME-2020-1 Question Paper With Solutions

Learn More:   Gate ME 2015-3 Question Paper With Solutions

LEAVE A REPLY

Please enter your comment!
Please enter your name here