Gate ME-2019-2 Question Paper With Solutions

Q. 34Gate ME-2019-2 Question Paper With Solutions

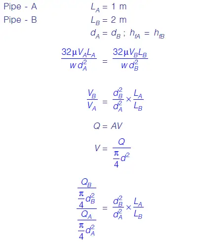
Answer: (0.5)

Explanation:

Gate ME-2019-2 Question Paper With Solutions Gate ME-2019-2 Question Paper With Solutions

Learn More:   Gate EC-2016 - 3 Question Paper With Solutions

LEAVE A REPLY

Please enter your comment!
Please enter your name here