Gate ME-2019-2 Question Paper With Solutions

Q. 29Gate ME-2019-2 Question Paper With Solutions

Answer: (B)

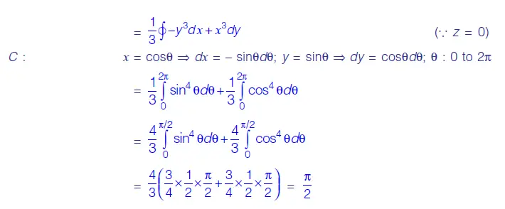
Explanation:

Gate ME-2019-2 Question Paper With Solutions Gate ME-2019-2 Question Paper With Solutions

Learn More:   Gate CS-2014-1 Question Paper With Solutions

LEAVE A REPLY

Please enter your comment!
Please enter your name here