Gate ME-2019-2 Question Paper With Solutions

Q. 16Gate ME-2019-2 Question Paper With Solutions
Answer: (A)

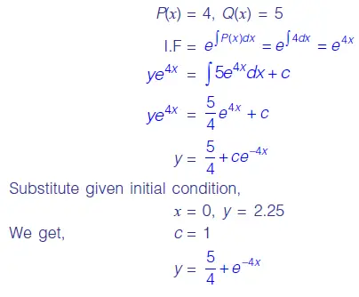
Explanation:

Gate ME-2019-2 Question Paper With Solutions

Learn More:   Gate ME-2019-1 Question Paper With Solutions

LEAVE A REPLY

Please enter your comment!
Please enter your name here