Gate ME-2019-2 Question Paper With Solutions

Q. 18Gate ME-2019-2 Question Paper With Solutions Answer: (2)

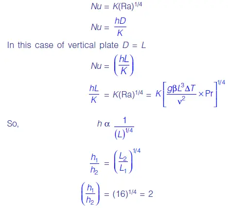
Explanation:Gate ME-2019-2 Question Paper With Solutions

Learn More:   Gate EE-2014-3 Question Paper With Solutions

LEAVE A REPLY

Please enter your comment!
Please enter your name here