Gate ME-2016-2 Question Paper With Solutions

Gate ME-2016-2 Question Paper With Solutions

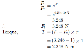
Answer: (2.248)

Explanation:

 

Gate ME-2016-2 Question Paper With Solutions

Learn More:   Gate CS-2018 Question Paper With Solutions

LEAVE A REPLY

Please enter your comment!
Please enter your name here