Gate ME-2016-2 Question Paper With Solutions

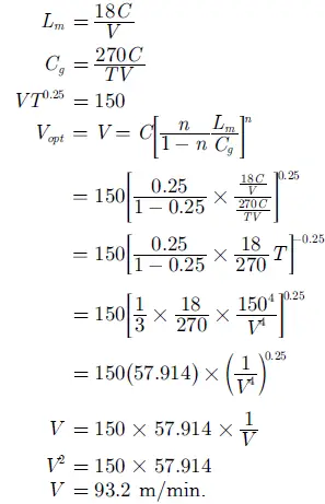
Gate ME-2016-2 Question Paper With Solutions Answer: (93.2)

Explanation:

Gate ME-2016-2 Question Paper With Solutions

Learn More:   Gate EC-2016 - 2 Question Paper With Solutions

LEAVE A REPLY

Please enter your comment!
Please enter your name here