Gate ME-2016-2 Question Paper With Solutions

Gate ME-2016-2 Question Paper With Solutions Answer: (1500)

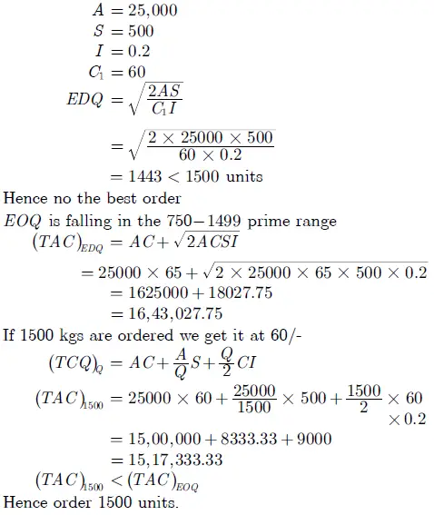
Explanation:

Gate ME-2016-2 Question Paper With Solutions

Learn More:   Gate ME-2017-1 Question Paper With Solutions

LEAVE A REPLY

Please enter your comment!
Please enter your name here