Gate EE-2015-1 Question Paper With Solutions
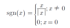
Q.45. The signum function is given by

The Fourier series expansion of
has
(A)only sine terms with all harmonics.
(B)only cosine terms with all harmonics
(C)only sine terms with even numbered harmonics.
(D)only cosine terms with odd numbered harmonics.
Answer:(D)
Explanation:













