Gate EE-2015-1 Question Paper With Solutions
Q. 12 Consider a one-turn rectangular loop of wire place in a uniform magnetic field as
shown in the figure. The plane of the loop is perpendicular to the field lines. The
resistance of the loop is 04 Ω, and its inductance is negligible. The magnetic flux
density (in Tesla) is a function of time, and is given by 
, where
radian/second. The power absorbed (in Watt) by the loop from the magnetic field is _______

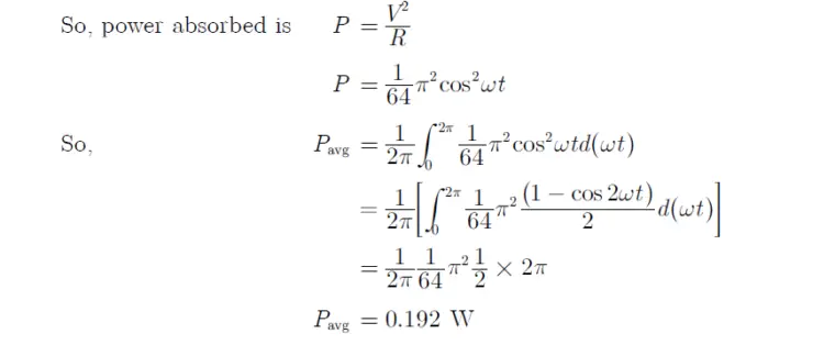
Answer: (0.192)
Explanation:













