Gate CS-2006 Question Paper With Solutions

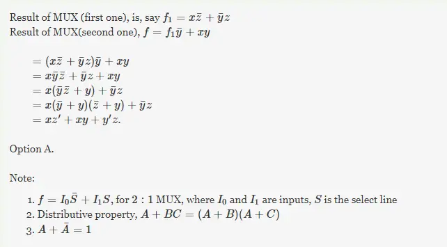
Q. 41 Consider the circuit below. Which one of the following options correctly represents f (x,y,z)?

Gate CS-2006 Question Paper With Solutions

Gate CS-2006 Question Paper With Solutions

Answer: (A)

Explanation:

Gate CS-2006 Question Paper With Solutions

Learn More:   Gate EE-2016-1 Question Paper With Solutions

LEAVE A REPLY

Please enter your comment!
Please enter your name here