Gate ME-2017-1 Question Paper With Solutions

Q. 37Gate ME-2017-1 Question Paper With Solutions

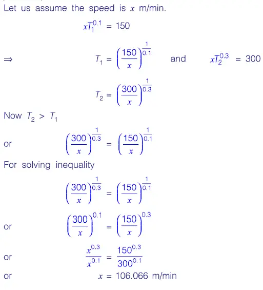
Answer: (106.066)

Explanation:

Gate ME-2017-1 Question Paper With Solutions

Learn More:   Gate EE-2018 Question Paper With Solutions

LEAVE A REPLY

Please enter your comment!
Please enter your name here