Gate ME-2017-1 Question Paper With Solutions

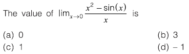
Q. 25

 Gate ME-2017-1 Question Paper With Solutions

Answer: (D)

Explanation:

Gate ME-2017-1 Question Paper With Solutions

Learn More:   Gate EE-2007 Question Paper With Solutions

LEAVE A REPLY

Please enter your comment!
Please enter your name here