Gate ME-2017-1 Question Paper With Solutions

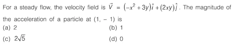
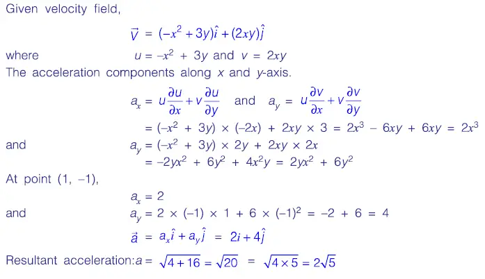
Q. 31Gate ME-2017-1 Question Paper With Solutions

Answer: (C)

Explanation:

Gate ME-2017-1 Question Paper With Solutions

Learn More:   Gate EC-2015 - 1 Question Paper With Solutions

LEAVE A REPLY

Please enter your comment!
Please enter your name here