Gate ME-2016-3 Question Paper With Solutions

Gate ME-2016-3 Question Paper With Solutions

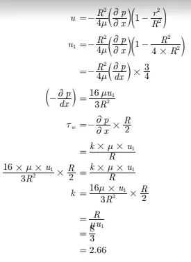
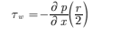
Answer: (2.66)

Explanation:

Gate ME-2016-3 Question Paper With Solutions Gate ME-2016-3 Question Paper With Solutions

Learn More:   Gate ME-2019-1 Question Paper With Solutions

LEAVE A REPLY

Please enter your comment!
Please enter your name here