Gate ME-2016-3 Question Paper With Solutions

Gate ME-2016-3 Question Paper With Solutions

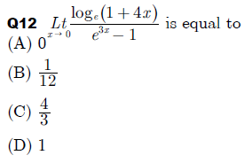
Answer: (C)

Explanation:

Gate ME-2016-3 Question Paper With Solutions Gate ME-2016-3 Question Paper With Solutions

Learn More:   Gate EE-2017-2 Question Paper With Solutions

LEAVE A REPLY

Please enter your comment!
Please enter your name here